起步于,1994年时伦敦金处于不足400美元 / 盎司的低位徘徊状态,历经,2008年全球金融危机之后的破千急升,又至,2020年疫情冲击之际突破2000美元关口,再到,历经2024年稳固地站在2000美元上方——黄金价格这三十年的起伏波折,既是全球政治经济格局重新构建的映照,也是货币信用、通胀周期与地缘博弈等关键变量的动态博弈历程。作为历经千年的“硬通货”,黄金于近三十年的现代化金融体系里,其对冲风险的本质属性得以留存,并且还衍生出与全球货币政策、央行储备行为紧密关联的全新逻辑。
接下来,我们会引领读者处在宏观的视角度,把近十年、二十年、三十年当作时间的刻度,去追溯金价从平稳处于波动状态到剧烈产生震荡的演变的轨迹,剖析不同一个周期之内地缘上出现的冲突、美联储政策发生转向、通胀存在压力、全球债务存在风险等关键要素的影响权重产生的变迁。
一、近10年金价走势

在2015年到2018年这个处于震荡整理的时期,价格基本上是维持在处于~230至280元每克的区间范围之内。
主要影响因素:
2、在2019年到2020年期间,受到避险加之疫情的冲击,价格出现了显著的上涨,到了2020年产出达到了高点。
主要影响因素:
2021年到2022年期间,处于复苏阶段,同时又存在风险,黄金价格依然保持在较高价位,不过波动幅度趋于收敛。
主要影响因素:
在2023年至2024年期间,央行有着相应需求,全球存在不确定性,价格再次向上发起攻势,特别是在2024年的时候显著地走高了。
主要影响因素:
5、2025年历史高位与新驱动
主要影响因素:
二、2005-2015年金价走势

1、第一阶段:2005–2007 商品牛市推动
关键事件:
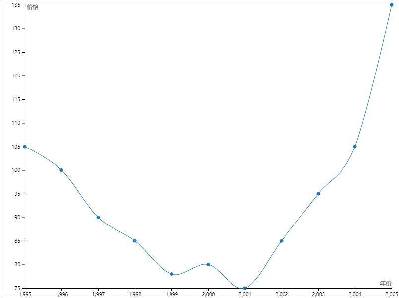
约135元每克的黄金,上涨到了180元每克,进而进入了长期牛市阶段。
2、第二阶段:2008 金融危机爆发
主要影响因素:
黄金成为最主要的避险资产,价格突破 200 元/克
3、处于第三阶段,时间跨度为2009年至2011年,期间呈现全球量化宽松以及欧债危机的状况。
关键事件:
因市场存在对通胀以及货币贬值的担忧,所以黄金于2011年创下了阶段性的历史高位,此高位约为335元每克。
4、第四阶段:2013 黄金崩盘
关键事件:
2013年期间,黄金出现单年跌幅,该跌幅超过了25%,之后人民币价格下跌,跌至了大约250元每克。
5、第五阶段:2014–2015 美联储加息预期
关键因素:
三、1995-2005年金价走势

1、第一阶段:1995–2001 长期熊市
关键因素:
2、第二阶段:2001–2005 新牛市启动
关键因素:

微信客服
微信公众号